Staff at RSSL conducted an informal sensory test, comparing control samples to the complaint samples. This allowed the team to use their experience to target the analysis of the taint, for example in this case, the team detected a sulphur, gassy, drain-like odour in the complaint samples.
Other classic taints include a medicinal, phenolic smell which is associated with chlorophenols and a musty odour which is often associated with anisoles.
Solid phase microextraction (SPME) was used to concentrate the samples for analysis by gas chromatography coupled with mass spectrometry. The choice of fibre was determined by the sensory test - in this case a carboxen/PDMS fibre was used.
This fibre type is particularly good for adsorption of volatile compounds. The sample is heated in a sealed vial and the analytes that partition into the headspace are adsorbed on to the fibre. This is then injected into a GCMS. The mass spectrometer is set up to scan over a known mass range.
Initial results were inconclusive, none of the classic taints that would be associated with a sulphur/ gassy smell were detected.
The likely cause of the issue was found buried under another peak in the chromatogram. The figure on the right shows both the control and tainted sample in total ion mode (TIC).

Figure 1: Chromatogram in total ion mode

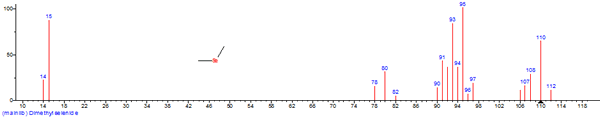
Figure 2: selenium compound
Extraction of m/z-110 reveals a difference in the samples.
Subtracting the background around this peak and library searching revealed the following selenium compound.
Selenium occurs commonly in water, it is also added to selenium deficient soil as a supplement for domestic food producing animals. Selenium can be methylated under microbiological action to form dimethyl selenide.
Whilst little is written about selenides as tainting compounds, they are believed to have similar properties to sulphur compounds and dimethyl selenide is reported to have a garlic odour. So the investigation switched to the source of the water. It was concluded that microbial contamination at the water source was responsible.