Medical devices must adhere to the rigorous ISO 10993-19:2020 standards which define the physical, physicochemical, morphological and topographical (PMT) properties essential for safety and performance. At RSSL, we understand the critical role these properties play in the success of your medical device.
Our state-of-the-art laboratories, equipped with cutting-edge technology, provide precise and reliable analysis of key PMT parameters. Whether you require in-depth characterisation of surface morphology or comprehensive physicochemical profiling, our expert team delivers accurate insights tailored to your specific needs.
Through seamless collaboration across our multi-lab network, we offer flexible testing solutions—ranging from individual techniques to fully customised testing packages ensuring that your device, including pre-filled syringes, meet regulatory expectations.
Morphological Characterisation (Surface & structural analysis)
• SEM & CLSM – High-resolution imaging for surface and cell interaction studies.
• Light Scattering & Device Profiling – Essential for drug coatings, injectables, and bio-interfaces.
Physicochemical Characterisation (Material stability & safety)
• TGA & DSC – Assess thermal stability for sterilisation processes.
• XRD & FTIR – Determine crystallinity and chemical composition for biodegradable stents and implant coatings.
• ICP-MS & GC-MS – Detect contaminants in pharmaceutical implants.
• Porosity & Density (SSA, Helium Pycnometry) – Optimise osseointegration and controlled drug release.
The results of these analytical tests are critical for ensuring that the materials used in medical devices are safe, efficacious and comply with all regulatory requirements.
At RSSL, we are continuing to invest in state-of-the-art technology to enhance our physical sciences capabilities.
Our latest addition is the GMP Micromeritics TriStar II Plus Specific Surface Analyser 3030, making us one of the few CROs in the UK able to offer specific surface area (SSA) analysis and complementary Helium Pycnometry to GMP standards.
These advanced analytical techniques are critical for evaluating porosity, pore size and pore volume, essential characteristics in the development of high-performance medical implant materials.


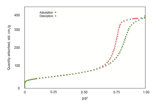
Full adsorption/desorption cycle
Porosity and pore size/volume of medical implant material is an important feature which enhances the functionality and capacity for cell integration. The availability of material voids enables the infiltration of cells, mechanical compliance and outward diffusion of pharmaceutical media.
A crucial factor in long-term clinical success is new bone formation at the bone-implant interface, achieved through osseointegration. This process, driven by the infiltration of cells into the implant’s pore structure, ensures a stable and functional bond between the implant and the patient’s bone.
With the TriStar II, RSSL can accurately measure pore volume in implant materials using gas adsorption. Our analysis, conducted with nitrogen at its boiling point, generates a full adsorption isotherm up to P/P₀ = 0.95 (figure 2) providing critical data to optimize implant material performance.